La Ampliación de la Jornada Escolar en la República Dominicana: Un Estudio Exhaustivo
La educación de calidad es un pilar fundamental para el desarrollo de cualquier nación. En este contexto, muchos países en vías de desarrollo, incluido la República Dominicana, han decidido aumentar sus inversiones en recursos educativos con el fin de mitigar desigualdades y potenciar el capital humano (Glewwe y Muralidharan, 2015). Una de las políticas más debatidas es la ampliación de la jornada escolar, la cual ha sido implementada en varios países con el objetivo de mejorar el aprendizaje (Gromada y Shewbridge, 2016). A pesar de su creciente popularidad, los efectos de esta política aún son objeto de debate.
Efectos de la Extensión de la Jornada Escolar
Los académicos están divididos: mientras algunos defienden que una jornada escolar más larga es esencial para el desarrollo integral de los estudiantes, otros argumentan que simplemente aumentar el tiempo escolar no garantiza un uso eficiente del mismo (Patall et al., 2010). Uno de los principales retos para evaluar el impacto real de la jornada extendida es que el tiempo que los estudiantes pasan en la escuela no es aleatorio. Estudios han abordado esta dificultad mediante la explotación de circunstancias inesperadas, como cierres por condiciones climáticas, y han encontrado evidencia de impactos positivos (Aucejo y Romano, 2016).
La Iniciativa de la Jornada Escolar Extendida en la República Dominicana
Desde su implementación en 2013, el programa de Jornada Escolar Extendida (JEE) ha buscado mejorar la calidad educativa en la República Dominicana. La meta era que el 80% de los estudiantes en escuelas públicas asistieran a este modelo de jornada extendida para 2016, aumentando las horas de enseñanza de 4 a 8. Este ambicioso esfuerzo de transformación educativa implicó una considerable inversión en infraestructura, dado que muchas instituciones operaban en turnos cortos, lo que generaba una alta concentración de alumnos por aula (Damaris, 2014).
Evolución de la Implementación
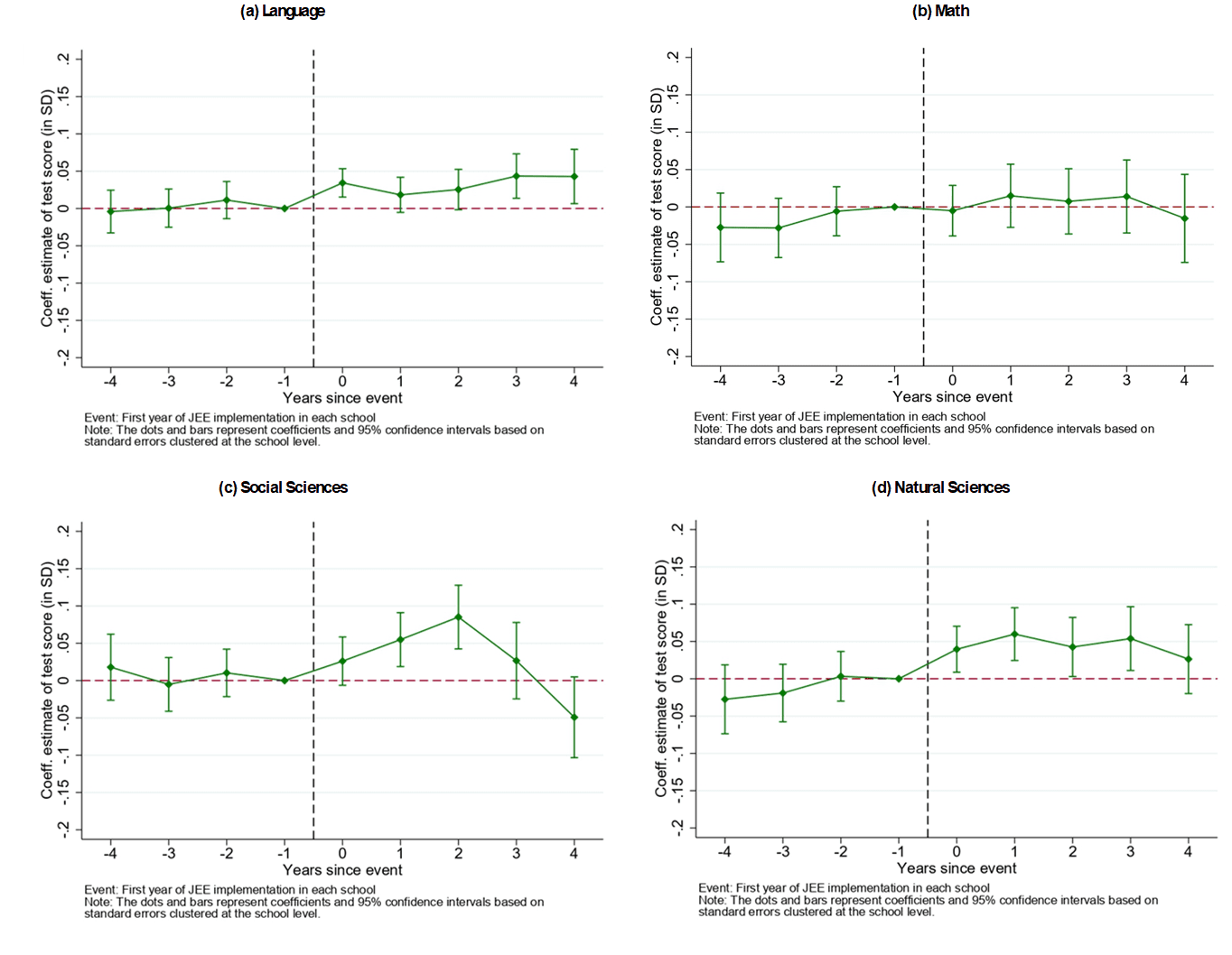
La implementación de la JEE ha sido gradual debido a limitaciones logísticas. Según un análisis de Garganta, Pinto y Zentner (2024), se han utilizado datos de exámenes nacionales para evaluar el impacto de este programa en el rendimiento académico de estudiantes de secundaria. Su investigación abarca el periodo de 2010 a 2019 y muestra que, aunque hubo mejoras en las materias de lengua y ciencias naturales, el impacto fue modesto y diverso dependiendo de la materia.
Resultados del Análisis
El análisis reveló mejoras en los puntajes de exámenes de alto riesgo, aunque no se encontraron efectos significativos en los exámenes de bajo riesgo. También se observaron diferencias en el rendimiento académico entre géneros. Las niñas mostraron mejoras significativas en exámenes de bajo riesgo, lo que sugiere que la ampliación de la jornada escolar podría haber influido en las brechas de género en educación.

Impacto Indirecto: Fecundidad y Participación Laboral
Más allá de los resultados académicos, la JEE ha tenido efectos indirectos sobre otros aspectos sociales. Investigaciones complementarias han indicado que en los municipios con mayor cobertura de la JEE, la fecundidad adolescente ha disminuido, mostrando resultados positivos frente a políticas educacionales que buscan no solo mejorar el aprendizaje sino también beneficiar a los jóvenes en su vida personal y social (Garganta et al., 2022).
Además, la ampliación de la jornada ha permitido que las mujeres, tradicionalmente encargadas del cuidado de los hijos, se incorporen más activamente al mercado laboral. Estudios indican un aumento notable en la tasa de participación laboral femenina, particularmente entre mujeres de bajos niveles educativos, quienes se benefician de tener más tiempo para trabajar gracias a la jornada extendida (Garganta y Zentner, 2021).
Conclusión
La evidencia respecto a la JEE en la República Dominicana articula un panorama mixto, destacando mejoras en determinadas áreas mientras se identifican necesidades de optimización en otras. La ampliación de la jornada escolar no solo busca talento académico, sino también influir en decisiones y comportamientos sociales más amplios.
Para aquellos interesados en programas de educación internacional y oportunidades de trabajo en el extranjero, Swatex RD ofrece asesoría y recursos valiosos. Informarse sobre programas de intercambio cultural o empleos internacionales puede ser clave para potenciar el desarrollo académico y profesional, creando así un escenario integral de crecimiento. Descubre más sobre las oportunidades que ofrecemos aquí.
Para más información sobre el impacto de la educación en la juventud y el desarrollo social, se pueden consultar estudios en instituciones de renombre y publicaciones académicas. En un mundo cada vez más globalizado, la educación sigue siendo la clave para un futuro exitoso y sostenible.
Referencias
- Altonji, J. G., Blom, E. y Meghir, C. (2012). “Heterogeneity in Human Capital Investments: High School Curriculum, College Major, and Careers.” Annual Review of Economics.
- Garganta, S., Pinto, F. y Zentner, J. (2024). “Do longer school days improve learning? The case of the Dominican Republic.” Banco Interamericano de Desarrollo (IDB).
- Damaris, L. (2014). Actualización de la línea de base de la Jornada Escolar Extendida a Octubre del 2014. Ministerio de Educación (MINERD).

